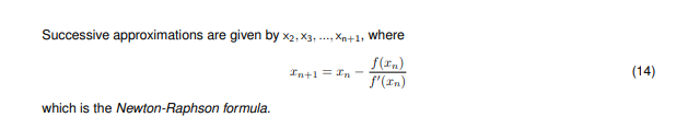
Solving Kepler’s equation by Newton-Raphson method

 To solve Kepler’s equation by Newton-Raphson method




Python Program:


# -------------------------------------------------------------
# Exp -3: To solve K e p l e r s equation by Newton - Raphson method
# -------------------------------------------------------------
import numpy as np
import math

# -------------------------------------------------------------
def kepler_eq (M , E , e , err ):

# M [ rad ], E [ rad ], e = between 0 to 1, E inital assumption
  print (" --------------------------------------------------------------")
  print (" value of M:", M , ", value of e:",e , ", intial value of E:",E )
  print (" --------------------------------------------------------------")

  h = ( M + e* math . sin (E ) - E) / (e* math . cos (E ) - 1 )

  i = 0;
  while ( abs (h) > err ):

    h = ( M + e* math . sin (E ) - E) / (e* math . cos (E ) - 1.0 )

    E = E - h
    i=i +1
    print (" interation = ", i , " value of E = ", E)
    # print (E)
  print (" --------------------------------------------------------------")

  print (" value of E is : ", E )

# ----------------------------------------------------------------------

M = 0.3 # mean anomaly
E = 100 # eccentric anomaly
e = 0.5 # eccenticity
err = 0.000000001 # 10^( -8)

kepler_eq (M , E , e , err )

# -----------------------------------------------------------------------


Output:



Comments

Popular posts from this blog

Solving Van Der Waals gas equation for volume of a real gas by the method of successive approximation.

To find mean , standard deviation and frequency distribution of an actual data set (Python Program)

Bisection Method